本文介绍了多线性扩展(MLE)的概念及其在零知识证明中的应用。文章解释了如何将布尔超立方体视为编码信息的方式,并如何使用多线性扩展将定义在布尔超立方体上的多元函数转换为多元多项式,同时保持在超立方体上的一致性,并扩展到超立方体之外。此外,文章还讨论了多线性扩展的唯一性、计算方法以及Schwartz-Zippel引理,为后续将电路与求和检验结合奠定基础。
为了获得更具互动性的体验,请在我的个人博客 Arkana 上阅读此文章。
在上一期中,我们看到了第一个利用通用计算模型的协议实例:电路。
虽然概念上很有趣,但我们注意到,理想情况下,我们希望证明表示为电路的计算是正确执行的,而不是我们知道有多少输入满足电路 (回想一下我们研究了#SAT)。
但问题是,我们是否可以用我们现有的知识做到这一点。 嗯... 我们不能!
感觉我们 非常接近 了,而且说实话,我们也确实很接近了。 然而,要实现这一点,我们需要使用一个我们至今尚未谈及的小数学工具。
即使今天的内容在数学方面可能有点沉重,也不要忘记我们的最终目标:证明我们对某个电路有一个令人满意的输入!
因此,现在是我们结识一位新朋友的时候了:一个在我们即将到来的努力中非常有用的工具。
让我们开始行动吧!
在 sum-check 文章 中,我提到 0 和 1 是两个特殊的输入,因为在这两个点上计算多项式非常容易。
但说实话:在大多数现实场景中,我们实际上并不关心在 0 和 1 处的计算结果。 它们只是像其他数字一样——它们没有任何内在的语义含义。
这对于布尔电路可满足性来说并非如此,因为输入首先是真正的布尔变量!
因此,当 sum-check 要求我们验证布尔超立方体上的和时,一个显而易见的问题出现了:谁在乎呢?

我们什么时候才需要对这些特定点上的多项式求和?
答案可能会让你惊讶:一直,一直需要。 但要理解这一切,我们需要以 不同的视角 来看待这些布尔超立方体。
这个问题的关键是将它们视为一种 编码信息 的方式。
让我们看一个具体的例子:一个简单的 数字列表。 假设我们有一个包含四个值的小列表,比如 [2, 3, 5, 8]。 要访问该列表的特定值,通常需要提供一个 索引。 因此,例如,要检索值 5,你需要请求列表中索引为 2 的值。
当然,假设我们使用的是 零索引!
现在,这是一个观察:索引只是 整数,并且这些整数都有 二进制表示。 更重要的是,这个小列表有 4 个可能的索引,在二进制中看起来像这样:
你明白我的意思了吧? 每个索引只是 布尔超立方体 {0,1}² 中的一个点!
相同的信息,不同的表示!
有了这个,我们可以将读取列表中给定索引处的信息的动作想象成一个 函数,在这里我们可以假定索引是 超立方体 中的值 (在本例中只是一个布尔 正方形):

$f: \{0,1\}^² \rightarrow \mathbb{F}$
这只是数学符号,意思是“一个函数 f,它接受两个布尔变量,并返回域中的某个值”。
因此,按照例子,我们有:
好吧,好吧。 但这不只是更无意义的重新标记吗?
实际上,不是! 你看,真正的关键在于我们如此不引人注目地引入的那个小函数 f。 隐含地,我们说这个函数能够 编码数据。
事实上,我们已经看到了一种获得上述函数的方法:插值。 显然,我们从该过程中获得的是一个 多项式。 正是通过这种类型的编码,sum-check 协议将变得相关。
酷! 慢慢地,但肯定地,我们似乎正在取得进展。
但我希望你注意到一件事:回到我们对 拉格朗日插值 的介绍中,我们实际上侧重于 单变量 情况。 插值被呈现为一种从计算结果中获得单变量多项式的方法,我们将计算结果视为 (x, y) 对。
但是在 sum-check 协议中,我们使用了一个具有 v 个变量的多项式 g,而不是单个变量。 因此,在这里,我们所描述的插值将无法使我们得到所需类型的多项式。
因此,我们需要一些不同的东西。
我们需要的是一种从定义在布尔超正方体上的 多元函数 (如上面的 f) 到 多元多项式 的方法。 为了方便起见,我们将调用该多项式 g,考虑到我们与 sum-check 的平行关系。
我们将以一种 非常特殊的方式 来做到这一点。 因为这里有两个重要的考虑因素:
结合起来,这两个条件精确地定义了 g 的行为:
它需要是一个多元多项式,其中每个输入都可以是一个有限域元素,并且其输出与布尔超立方体上的编码值匹配
是的…… 真是拗口。 让我们拆开它。
首先,我们要说的是,我们需要一个定义在这些集合上的函数:

$g: \mathbb{F}^v \rightarrow \mathbb{F}$
也就是说,它取 𝔽 域中的 v 个输入,并且允许我们总共编码 2ᵛ 个值。 对于这些值,我们对函数有一系列的 限制:
以此类推。 因此,我们要求:

$f(w) = g(w) \ \forall w \in \{0,1\}^v$
这只是数学符号,意思是:g = f 仅在超立方体上成立。
这就是我们想要的构造。 就像我们 扩展 原始函数 f,以便输入可以取 0 和 1 之外的值,允许在更大的有限域上取值。 因此得名:多线性扩展 (multilinear extensions)。
但是等等,为什么是 多线性 (multilinear)? 这到底是什么意思?
在发生任何混淆之前:多元 (multivariate) 和 多线性 (multilinear) 不是一回事。

正如我们已经知道的那样,多项式可以具有不同的次数,因为表达式本身中的不同项可以被提升到不同的整数幂。 我们甚至可以在这里稍微扩展一下语言,谈论 每个变量 的次数,因为给定变量在整个过程中被提升到的最大幂。
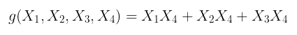
说一个多项式是多线性的实际上对表达式的外观施加了一个 强烈的限制:我们要说的是每个变量的次数 最多为 1。 为了完全清楚起见,这是一个多线性多项式:

$g(X_1, X_2, X_3, X_4) = X_1X_4 + X_2X_4 + X_3X_4$
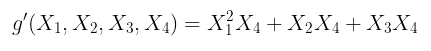
而这 不是:

$g’(X_1, X_2, X_3, X_4) = X_1²X_4 + X_2X_4 + X_3X_4$
具有 X₁² 的那个单项使整个多项式非线性!
好吧…… 但是,再说一次,这有什么关系呢?
事实证明,施加这个条件有一些 好的结果。 你看,原则上,我们可以使用 任何次数 的多项式来扩展我们的原始函数 f。 事实上,有 无数种方法 可以做到这一点!
以我们的 4 元素列表 [2, 3, 5, 8] 为例。 我们可以构建如下多项式:
这三个多项式都正确地在 {0,1}² 上编码了列表,当然在其他任何地方都不同。 那么…… 具体来说,是什么让多线性性变得特别?
首先,多线性表达式 简单 且 高效。 这些多项式在某个时候需要进行 求值,在这方面,次数很重要。 与高次数表达式相比,多线性多项式的求值往往 成本较低,而且它们通常具有较少的系数,这也会影响通信成本。
此外,一些 可靠性论证 依赖于某些多项式具有较低的次数!
但这还不是全部。 当我们将自己限制在 多线性多项式 中时,恰好只有 一种方法 可以定义 g,使其满足我们所有的要求。 换句话说,在布尔超立方体上定义的某个函数 f 的 多线性扩展 (简称 MLE) 是 唯一 的。
见鬼,让我用更强烈的措辞来说明:
有一种自然的、唯一的方式来扩展在布尔超立方体上定义的函数 f 到一个多线性多项式
这非常强大。 非常强大,以至于我认为我们应该 证明 这个陈述。
可以随意跳过下一节。 我只是认为它值得一看,因为它是多线性扩展如此有用的属性!
为了证明这一点,我们首先需要一个构建这样一个函数 g 的策略。
我们将这样做:对于 {0,1}ᵛ 中的每个点 w,我们将构建一个多项式,该多项式在 w 上计算为 1,在超立方体上的其他任何地方都计算为 0。
这 一定 听起来很熟悉。 你还记得我们在哪里看到过类似的东西吗?

是的,这正是我们定义 拉格朗日基 的方式! 这几乎就是我们在这里所做的事情。
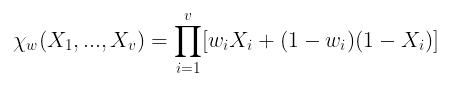
好的,那么,让我们定义它:

$\chi_w(X_1, …, Xv) = \prod{i=1}^{v} [w_iX_i + (1-w_i)(1-X_i)]$
这看起来可能有点奇怪,但是它的确可以正常工作:
要获得扩展,我们只需要将所有这些项加在一起,并乘以给定索引处的编码值 f(w):

$g(X_1, …, Xv) = \sum{w \in \{0,1\}^v} f(w) \chi_w(X_1,…,X_v)$
你可以自己检查一下,此表达式是多线性的。 因此,我们构造了一个 有效的 f 的 MLE!
剩下的就是证明此表达式是 f 的唯一可能的 MLE。
我现在将开始稍微滥用符号,以使内容更加简洁。 当我说 p(X) 时,只需假设 X 是一个向量。 毕竟,这在我们正在使用的上下文中是有意义的!
为此,我们将做一些非常聪明的事情。 假设 p(X) 和 q(X) 是 f 的两个有效的 MLE。 从它们中,让我们构建这个多项式 h,它也是多线性的:

$h(X) = p(X) — q(X)$
因为 p(X) 和 q(X) 是有效的 MLE,所以它们在布尔超立方体上具有相同的值,这意味着这些值将是 h(X) 的 根。
最常见的是,这被陈述为:h(X) 在 {0,1}ᵛ 消失。
但是,为了证明 p(X) 和 q(X) 是相同的多项式,我们需要证明 h(X) 恒等于 0 ——也就是说,它的表达式为 h(X) = 0。
现在,由于 h(X) 是多线性的,因此它在每个变量中的次数最多为 1——因此其总次数最多为 v。 正如我们已经知道的那样,次数为 v 的非零多项式最多可以有 v 个根。
但是…… 我们声称 h(X) 有 2ᵛ 个不同的根!
这是不可能的:2ᵛ 大于 v (对于任何 v ≥ 1) (。 除非,当然,我们允许 h(X) 为 零多项式!
因此,这里唯一的可能性是 h(X) = 0,这反过来意味着 p(X) = q(X)。 因此,MLE 是唯一的,并且正是我们构建的表达式。
很棒,不是吗?

请,停止吧……
唯一性很重要,因为它 防止伪造。 通过这种方式,我的意思是如果存在多个可能的扩展,则作弊的证明者可能会尝试构建一个以满足其不正当需求。
但是使用 MLE,只有 一个正确的扩展。 扩展过程免费获得保护:唯一性意味着作弊者没有回旋余地!
好的! 我们已经证明了 MLE 是唯一的且定义明确的。 但是我们需要解决另一件事:实用性。
让我们快速回顾一下我们的公式:

$g(X_1, …, Xv) = \sum{w \in \{0,1\}^v} f(w) \chi_w(X_1,…,X_v)$
请注意,我们正在对 2ᵛ 个元素求和,并且每个 χ 项都涉及 v 个乘法。 粗略地说,对 g 中的 单个点 进行求值总共需要 O(v.2ᵛ) 个操作。 如果我们不小心使用这些扩展,计算成本可能会 爆炸,从而导致 MLE 不切实际。
幸运的是,有一种巧妙的优化方法可以计算 MLE,从而大大缩短了评估时间,而这最终使这些小家伙非常有用。
这个技巧再次与我们可以利用的 递归结构 有关。 这里的一个例子将有助于概念化总体思路。
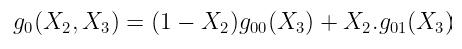
假设我们要计算某个 3 变量函数 f 的扩展 g(X₁, X₂, X₃)。 每个变量都是 二进制 的事实使我们能够以这种方式编写 g:

$g(X_1, X_2, X_3) = (1 — X_1)g_0(X_2, X_3) + X_1.g_1(X_2, X_3)$
其中 g₀ 和 g₁ 分别是原始函数 g 在 X₁ = 0 和 X₁ = 1 处的 限制。
通过使用这些限制,我们将原始 MLE 的求值 分解 为 两个较小的 MLE 的求值! 当然,我们不需要停在那里:我们现在可以获取 g₀ 和 g₁,然后执行 完全相同的事情,从而将其求值减少为两个变量少一个新的 MLE。

$g_0(X_2, X_3) = (1 — X2)g{00}(X_3) + X2.g{01}(X_3)$
一旦我们获得了一元多项式,它们的求值就会变得非常简单:

$g_{01}(X_3) = (1 — X_3)f(0,1,0) + X_3f(0,1,1)$
请记住:当我们计算多线性扩展时,X₃ 以及其他变量将从 有限域 中取值,而不仅仅是 0 和 1!
因此,为了计算 g,我们必须沿 相反的方向 行进。 我们从 f 的求值开始,然后对它们进行 组合。 按照我们的示例,将导致此处的小图:

当我们考虑使用这些 MLE 的上下文时,就会发生神奇的事情。 你看,在我们优秀的 sum-check 协议中,我们需要在后续轮次中在以下各点计算 g:
如果你需要,请再次查看协议!
在每一轮中,一个变量被固定为挑战值 r,但是剩余变量仍然采用 重复 且可以 重用 的布尔组合。
我们可以在我们的小示例中看到这一点。 假设我们需要找到 g(0,0,0),然后找到 g(r₁,0,0)。 第一次评估提示我们计算 g₀(0,0) 和 g₁(0,0):

如果我们 存储 这些值以供以后使用,则当我们被要求计算 g(r₁,0,0) 时,我们可以简单地重用它们:

$g(r_1) = (1 -r_1)g_0(0,0) + r_1g_1(0,0)$
我们所做的是使用了算法设计中最古老的技巧之一:备忘录化 (memoization)!
我们所做的只是在开始sum-check时存储 中间值,然后稍后简单地重用它们,从而大大降低了求值成本!
这种获得的效率主要有助于在sum-check协议期间保持 证明者的运行时 可管理,或者实际上,在以这种二进制方式编码数据的任何其他上下文中。
酷! 我们现在已经介绍了 MLE 背后的绝大多数技巧。 但是在离开之前,我们需要谈论另一件小事,这恰好是我们将来会经常使用的基本原理。
我们之前用来证明唯一性的见解——次数为 d 的非零多项式最多可以有 d 个根——实际上是一个更通用且强大的结果的特例,我们在整个系列中会多次使用它,称为 Schwartz-Zippel 引理。 现在是介绍它的最佳时机!
这是想法:如果 p(X₁, …, Xᵥ) 是一个在域 𝔽 上的总度数为 d 的 非零多项式,并且我们从 𝔽 中选择随机值 r₁, …, rᵥ,那么我们恰好落在根上的概率是多少?
这个值恰好是:

$\textrm{Pr}[p(r_1, …, r_v) = 0] \leq d / |\mathbb{F}\|$
只要 d 远小于有限域的大小,那么此概率就可以忽略不计! 因此,如果我们选择一组随机输入,并且实际上得到 p(r₁, …, rᵥ) = 0,那么原始多项式是常数多项式 p(X₁, …, Xᵥ) = 0 的 机会非常大!
这似乎很简单,但实际上是一个非常强大的工具。 一个非常简单的应用是证明两个多项式是相同的:给定 p(X) 和 q(X),我们可以将 h(X) 定义为:

$h(X) = p(X) — q(X)$
当我们选择一个随机点 r*,并检查 p(r*) = q(r*) 时,我们实际上说 h(r*) = 0,这意味着 p(X) 等于 q(X) 的概率很高。
这应该非常让人联想到我们在sum-check 协议的 可靠性分析 期间使用的推理。 尽管我们没有明确说明,但我们使用了 Schwartz-Zippel 引理!
我们会经常使用它,所以一定要记住这一点!
好的,这可能很多! 让我们回顾一下今天学到的知识。
首先,布尔超立方体非常适合作为 索引策略。 我们可以利用它来编码信息,因为索引可以作为某个 函数 的输入,而我们想要编码的数据可以作为它的输出。
然后,为了在 sum-checking 中使用此函数,我们确定需要 扩展 它。 这就是我们得出 MLE 的方式:不再受布尔超立方体限制的这些函数的唯一扩展。
尽管我没有明确提到这一点,但是构建这些 MLE 非常容易。 我们使用的拉格朗日基非常简单。 出于这个原因,在扩展函数时,MLE 是更好的选择!
使用 MLE,我们可以获取几乎 任何数据集(一个数据库、一个向量、一个矩阵)并将其 编码为多项式,该多项式可以某种方式很好地与 sum-check 一起使用。
显然,还有一些我们尚未解决的问题:Sum-check 在所有这些中扮演什么角色?
我的意思是,编码数据很好,但是 计算 在哪里?
这就是 电路 的用武之地。 那将是我们的下一站,在那里事情最终会开始变得顺畅!
下次见!
- 原文链接: medium.com/@francomangon...
- 登链社区 AI 助手,为大家转译优秀英文文章,如有翻译不通的地方,还请包涵~
如果觉得我的文章对您有用,请随意打赏。你的支持将鼓励我继续创作!