文章介绍了Based Rollup 的概念,它旨在解决传统 Rollup 中存在的中心化和经济激励问题。Based Rollup 通过将rollup交易的排序权委托给以太坊 Layer 1来实现更高的去中心化和透明度。文章还讨论了预确认(Preconfirmation)在Based Rollup 中的重要性,以及 Commit Boost 如何作为中间件解决方案来促进预确认的实现。
免责声明:本文基于首尔国立大学区块链学院 Decipher 提供的关于 Based Rollup 的演示文稿。它讨论了 Based Rollup 的基本概念和必要性。本报告中的任何内容均不应被解释为投资建议。

Based Rollup 系列 有两篇:
首尔国立大学区块链学院 Decipher (@decipher-media)
由 Nari, Nananaa, Smstack, Decipher 的 Jay 审阅
Rollup 在以太坊的可扩展性路线图中扮演着至关重要的角色,并且在 Dencun 升级 中引入了 EIP-4844 的推动下,在 2024 年经历了显著的增长。然而,Rollup 的中心化以及与以太坊的对齐减弱等问题也随之出现,从而产生了对解决方案的需求。
在本系列中,我们将研究 Based Rollup —— 针对上述问题提出的解决方案 —— 并探讨实现它的各种方法以及每个结构所需的改进。
以太坊一直保持着其作为领先的 Layer 1 区块链的地位——不仅仅是像比特币那样的简单的价值存储,而是作为一个可编程的区块链。然而,随着网络经历了爆炸式增长,可扩展性问题开始浮出水面。交易量激增,导致 gas 费用飙升至难以承受的水平,并减慢了交易处理速度。这些问题显著降低了用户体验,引发了人们对在不解决这些问题的情况下,可持续增长将难以为继的担忧。
在此背景下,以太坊社区采用了 Rollup 作为提高可扩展性的解决方案。通过在链下处理交易并将结果记录在以太坊主网上,Rollup 显著提高了交易吞吐量,缓解了高 gas 费用和慢处理速度的问题,并为容纳更多用户和去中心化应用奠定了基础。
在 Dencun 升级 之后,Rollup 交易成本已大幅降低,每日交易总数(包括 L1 和 Rollup)增加了三倍以上,并且 Layer 2 的 TVL(总价值锁定)已显著增加。

每日交易数量;以太坊 + Layer2,无系统交易 (来源: growthepie)

链上锁定的所有资金的总和 (来源: growthepie)
这清楚地表明,虽然对以太坊存在确定的需求,但用户对成本高度敏感。如果 Rollup 不存在——或者如果使用它们过于昂贵——资本可能会转移到其他未连接到以太坊的 Layer 1。总体活动(结合 L1 和 L2 交易)有所增加,平均费用有所下降,这标志着在解决以太坊旨在解决的可扩展性问题方面迈出了重要一步。
然而,Rollup 路线图的引入也给以太坊带来了新的问题。由于大多数交易现在都在 Layer 2 上处理,因此以太坊 Layer 1 的可用性已降低。此外,Layer 2 交易产生的经济激励并未充分传递到 Layer 1,从而导致 Layer 2 被视为仅仅寄生于 Layer 1。
在 Dencun 升级之前,网络活动的增加将导致更高的费用消耗和以太坊供应的减少。然而,来自 3 月份的数据显示,燃烧的总费用量已与网络活动脱钩。虽然已经实现了用户支付的交易费用减少,但燃烧的总费用也减少了,从而削弱了最初计划的通货紧缩效应。

从左上顺时针移动:L2 交易费用,L2 上的月活跃用户,L2 上燃烧的费用,L2 交易数量 (来源: tokenterminal)
简而言之,如果目前的情况——即以太坊 Layer 1 无法从 Layer 2 获得更多收入——持续下去,以太坊阵营所吹捧的“超声货币”的承诺将失去意义,并且其价值可能会继续下降。
如上图所示,虽然以太坊 Layer 2 的受欢迎程度持续上升,但定序器的中心化风险经常被忽视。一个相关的例子是 Scroll,它在 2024 年 7 月 20 日在 Rho Markets 发生了一起资金提取事件。在该事件中,攻击者利用了 Rho Markets 预言机中的漏洞,获得了未经授权的访问权限来操纵数据和窃取资产。在意识到该事件后,Scroll 选择暂时延迟链的最终确定 (Scroll decided to temporarily delay the finalization of the chain),优先考虑保护客户资产而非去中心化。同样,在 2024 年 6 月 2 日,Linea 停止了其定序器并审查了攻击者的地址,以响应利用 Velocore 智能合约中的漏洞的攻击,从而阻止了资产被桥接 (Linea censored the attacker’s address)。

Rollup 交易生命周期(来源:RedactedRes)
定序器接收 Rollup 交易,确定其顺序,并提供预确认,即用户的交易将被包含在后面的 L1 区块中。这是使 Rollup 能够为用户提供更低的费用和更快的交易确认的关键要素。然而,问题在于,目前大多数主要的以太坊 Layer 2 Rollup 都运营着自己的独立的、中心化的定序器——这被认为是最方便、用户友好和最具成本效益的解决方案。鉴于定序器所拥有的权力,存在一个不可忽略的风险,即它们的中心化地位可能被利用来提取 MEV 或以其他方式损害生态系统的完整性。除了 MEV 提取之外,中心化的定序器还会对活跃性构成风险,并创建单点故障 (SPOF)。虽然一些 Rollup 提供了允许用户强制包含交易的机制,但并非所有 Rollup 都具有此类功能。因此,如果运营商拒绝包含交易,用户可能会面临审查——甚至可能冻结他们的资金。
此外,每个 Rollup 都有其自己独特的定序器操作方法和处理计划(包括状态最终确定时间、处理速度和安全假设),这使得难以实现与 Layer 1 相同时间尺度的同步可组合性。(同步可组合性是指创建一种互连的结构——就像以太坊主网一样,智能合约可以无缝交互——使用户能够跨多个链使用单一资产进行交易,而不会产生摩擦。)
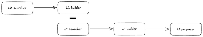
Based Rollup 是一种新提出的结构,旨在解决传统 Rollup 中固有的中心化和经济激励问题。它最初由以太坊基金会研究员 Justin Drake 于 2023 年 3 月作为一种新型 Rollup 提出。其核心概念是将 Rollup 交易的排序权委托给以太坊 Layer 1,而不是委托给单独的 Rollup 定序器。Based Rollup 具有以下结构:

Based Rollup 结构(来源:Taiko)
与现有的 Rollup 相比,Based Rollup 结构具有以下优点和缺点:
优点

Based Rollup;重用 PBS 结构(来源:ybbcapital)
3. 简洁性: Based Rollup 具有非常简单的结构——特别是与依赖中心化定序器的传统 Rollup 相比。它不需要额外的机制来验证定序器签名、紧急出口或外部 PoS 共识。这种结构上的简单性有助于避免因过于复杂的设计而产生的漏洞,并使维护更容易。
4. 与 Layer 1 的经济一致性: 如去中心化点所述,Based Rollup 中生成的 MEV 自然会流向以太坊 Layer 1 上的参与者。这种流动增强了 Layer 1 的经济安全性,并且可以通过 MEV 燃烧等机制来改善 ETH 的经济稀缺性。Rollup 可以通过 EIP-1559(L2 上的基本费用)等机制来维持其收入模式,而不是牺牲 MEV 收入。
5. 主权: Based Rollup 可以在不需要单独的 Token 的情况下实现去中心化,同时仍然提供维护主权的选择。它可以选择拥有治理 Token,并在 L2 上征收基本费用,并有权随意使用该收入。换句话说,Rollup 可以通过其自身的治理结构反映社区意见,并在不失去主权的情况下设定长期发展方向。
缺点
讨论自然延伸到如何提供预确认的问题——这是仅凭 Based Rollup 的设计无法实现的承诺。让我们首先探讨预确认的概念。
在日常生活中,人们非常习惯预确认,以至于他们经常没有注意到它。例如,在网上支付或在电子商务平台上购买商品时,用户希望一旦屏幕上出现确认消息,请求就会完成。服务提供商在管理复杂的流程(例如包装和运输)以完成订单的同时,会提供此确认,而用户并不知道这些复杂性。

未来区块的预确认过程(来源:vitalik)
现在我们将这个概念扩展到区块链交易。预确认是一种过程,其中提供者(例如,执行交易的验证者或区块生产者)向投标人(需要执行交易的一方)提供可靠的承诺。它用于量化和降低与交易排序和区块空间拍卖相关的风险,从而使用户能够确保执行来产生更多价值。
预确认的概念在以太坊中并不新鲜。例如,比特币现金允许 0-Conf 交易,即使在区块上确认之前,也可以信任和处理交易。这种方法已用于需要快速交易处理的场景中,例如零售支付。
为了使 Based Rollup 提供预确认,必须满足以下要求:
2. 罚没: 提供预确认的实体必须具有一种机制来强制投标人遵守约定的预确认条件。这通常通过罚没来实现——一种惩罚系统,该系统会烧毁或没收违反规则的实体的部分或全部赌注,从而维护了网络的可信度。在这种情况下,有两种类型的罚没:
在活跃性故障的情况下,处罚通常较轻,因为提供者可能并非故意省略了该交易。但是,对于安全性故障,如果提供者有机会包含正确的交易但没有这样做,则无论意图如何,都会没收全部存款。
3. 链下机制: 需要一种链下机制供投标人验证预确认。在链下,其他人应该可以查看和理解预确认及其条件,以确保可靠性。
虽然各种项目都在以不同的方式实施预确认,但在不更改以太坊 Layer 1(尤其是在罚没方面)的情况下提供基于此的预确认具有挑战性。这通常迫使人们依赖 EigenLayer 等单独的实体。但是,这样做可能会损害 Based Rollup 的核心优势——即继承以太坊的完全安全性和生存能力。因此,大多数项目都在努力在实施预确认和继承生存能力之间找到适当的权衡。
Taiko 是第一个在主网上启动的 Based Rollup,目前以一种允许任何人成为 Taiko 提议者而不进行预确认的结构运行,并将所有 Taiko 区块提交给以太坊 Layer 1。

Taiko 交易生命周期(来源:自制)
更具体地说,Taiko L2 提议者从用户那里收集 Rollup 交易,并将它们组装成区块,然后通过 Taiko L1 合约将这些区块提交给以太坊 Layer 1。提交的区块使 MEV-Boost 构建者能够创建一个包含捆绑包的 L1 区块,该捆绑包既包含以太坊 L1 交易,也包含 Taiko L2 区块。一旦生成此 L1 区块并将其交付给 L1 提议者,Taiko 客户端就会收到 L2 区块信息,执行 Rollup 交易,并更新状态。
但是,由于此结构不提供预确认,因此只有在生成包含 Taiko L2 区块的 L1 区块后,才能更新 Taiko 用户的状态。因此,Taiko 无法实现短于以太坊 12 秒区块时间的区块时间。此外,如果 Taiko L2 区块提交给 L1 的时间延迟,则区块时间可能会延长到 24 秒以上——与传统的 Rollup 相比,这会导致用户体验明显变差。
(在 Devcon 2024 上,Justin Drake 介绍并提出了 Beam Chain,该链旨在替代或改进以太坊现有的共识层(信标链),以提高整体网络稳定性和性能。值得注意的是,一项提案包括将区块时间从 12 秒减少到 4 秒,这可能会改善 Based Rollup 的用户体验,Based Rollup 目前由于缺乏预确认而遭受较长的区块时间困扰。有关 Beam Chain 的更多详细信息,请参见 Devcon 视频 。)

每日平均区块时间(来源:Taiko)
此外,如果 L2 提议者的盈利能力较低,则参与者可能缺乏作为提议者的激励。在 Taiko 中,每个区块的 L2 提议者的收入计算为:
[(gasPrice - baseFee) * gasUsed] - L1 cost


L2 提议者赚取了 0.00337 ETH 的收入,并且在扣除 L1 成本后,最终利润为 0.00209 ETH(约 5.16 美元)。换句话说,提议者的盈利能力取决于 L1 gas 费用和 L2 上使用的 gas,与中心化的 Rollup 相比,这使得盈利具有挑战性。

Taiko 的净利润(左),base的净利润(右)(来源:growthepie)
如果盈利能力仍然很低,则 L2 提议者参与的动机就会减少,这可能会导致仅由 Taiko Labs 运营的提议者生成区块的情况。

Taiko 的每日唯一 L2 提议者(来源:Taiko)
为了解决这个问题,Taiko 正在努力实施基于此的预确认。Taiko 正在与 Taiko Gwyneth、Nethermind 和 Gattaca (Titan) 合作实施一项路线图,该路线图通过允许提议者从提供给用户的预确认中赚取费用来提高提议者的盈利能力。
在先前关于 Based Rollup 的预确认的讨论中,我们注意到,如果提供预确认的实体未能满足承诺的条件,则该实体将受到罚没。换句话说,即使存在罚没风险,也需要以太坊 Layer 1 提议者提供预确认,这可能会使他们没有足够的激励这样做。
Commit Boost 已经成为一种中间件解决方案,通过提供一种拍卖机制来解决这个问题,该机制允许交易未来以太坊 Layer 1 区块的部分或全部。最初旨在支持 MEV-Boost 的安全执行,但实施 Commit Boost 的过程表明,Layer 1 提议者可以对其生成的区块设置各种条件。此功能使 Commit Boost 也可以用作实施预确认的标准。
Commit Boost 作为由多个模块组成的单个 sidecar 运行。

Commit Boost 结构(来源:CommitBoost)
4. 签名者 API: 提供来自模块的提交请求的签名。它与密钥管理器通信以安全地管理加密密钥并生成签名。需要签名的提交通过签名者 API 获得签名者,然后将签名返回给相应的模块。
5. 密钥管理器: 用于管理加密密钥的系统(例如,Web3 签名者、DIRK),该系统连接到签名者 API 以处理签名请求。
6. 像 Prometheus 和 Grafana 这样的监控和可视化工具允许实时监控 Commit Boost 的状态。
通过 Commit Boost 的社区构建模块,提议者可以创建提交并设置包含预确认逻辑的提交协议逻辑。

提议者提交模块(来源:Ethereum)
Commit Boost 可以在两个角色中使用:
当 Commit Boost 运行时,提议者可以注册他们想要的提交类型。将其用作中间件可确保无需修改以太坊的共识客户端或为每种提交类型运行单独的 sidecar,每个组件都保持独立,同时保持与提议者之间的承诺的兼容性。
用户需要更快的交易确认和更低的费用,这推动了以太坊 Rollup 生态系统的显著增长。但是,Rollup 反而导致以太坊 Layer 1 的使用减少,并干扰了 ETH 燃烧机制。此外,对于基于中心化定序器的 Rollup 仍然存在持续的变革需求。
Based Rollup 作为这些问题的解决方案被提出,它利用以太坊 Layer 1 来执行排序。通过消除独立的定序器并重用以太坊的搜索者-构建者-提议者基础设施,Based Rollup 可以实现更高水平的去中心化和透明度。但是,Based Rollup 仍然存在许多未解决的问题,特别是关于:
各种项目正在致力于产品实施,这些实施采用了解决这些核心问题的不同方法。

实施 Based Rollup 的分类(来源:自制)
在下一个系列中,我们将重点关注提供预确认的实体,研究如何设计排序过程以实施 Based Rollup,并介绍每种方法的局限性以及相应的解决方案。
- 原文链接: medium.com/decipher-medi...
- 登链社区 AI 助手,为大家转译优秀英文文章,如有翻译不通的地方,还请包涵~
如果觉得我的文章对您有用,请随意打赏。你的支持将鼓励我继续创作!